【自主レポート】

第36回宮城自治研集会
第6分科会 復興・再興・新興!! ~消滅でも創生でもない地域づくり~

 この研究では、本町における人口の現状を分析するとともに、住民と九州中央自動車道建設に伴う人口に関する認識を共有しながら、今後めざすべき将来の方向と人口の将来展望を提示するとともに、人口減少に歯止めをかける積極戦略と、人口減少に対応したまちづくりを行う調整戦略のバランスを図りながら、今後の人口の変化が地域の将来に与える影響の分析・考察を行い、めざすべき将来の方向等を提示します。



高速道路開通に伴う定住促進


宮崎県本部/五ヶ瀬町役場職員組合・自治研グループ

【目 次】

1. 研究にあたって
 (1) 研究の背景
 (2) 研究の位置づけ

2. 五ヶ瀬町の人口の現状分析
 (1) 人口の動向分析
   ① 人口の推移
   ② 自然動態および社会動態の推移
   ③ 人口動向のまとめ
 (2) 将来人口の推計
   ① 総人口の比較
 (3) 人口の変化が地域の将来に与える影響
   ① 生活分野
   ② 子育て分野
   ③ 医療・福祉分野
   ④ 産業分野

3. 九州中央自動車道による人口推計
 (1) 九州中央自動車道計画と進捗状況

4. 人口の将来展望
 (1) めざすべき将来の方向
 (2) 人口の将来展望


1. 研究にあたって

(1) 研究の背景
① 人口減少社会における人口ビジョン
 現在、日本全体が人口減少社会に突入している中、地方においては消滅可能性自治体の予測など、深刻な問題となっています。本町においても、人口減少が続いており、同時に少子・高齢化が急速に進行していることにより、人口構造が変化し、中長期的な視点において、まちの活力やコミュニティの維持について、難しい局面を迎えています。
 こうした全国的な人口減少と、それに伴う地方の衰退に歯止めをかけるため、国においては、2014年11月に制定された、まち・ひと・しごと創生法を受け、2014年12月に、人口の現状と将来の展望を提示する「まち・ひと・しごと創生長期ビジョン」(以下「国の長期ビジョン」という。)及び、今後、5か年の政府の施策の方向を提示する「まち・ひと・しごと創生総合戦略」(以下「国の総合戦略」という。)が閣議決定されました。国の長期ビジョンでは、2060(平成72)年に1億人程度の人口を維持することをめざすこととされており、国の総合戦略では、その達成に向け3つの基本的視点(1)「東京一極集中」を是正する、(2)若い世代の就労・結婚・子育ての希望を実現する、(3)地域の特性に即して地域課題を解決する、と4つの基本目標「①地方における安定した雇用を創出する」、「②地方への新しいひとの流れをつくる」、「③若い世代の結婚・出産・子育ての希望をかなえる」、「④時代に合った地域をつくり、安心なくらしを守るとともに、地域と地域を連携する」が掲げられるなど、5年間の施策展開の方向性が示されています。
 これを受けて、地方公共団体においては、国の長期ビジョン及び国の総合戦略を勘案し、人口の現状と将来の展望を提示する「地方人口ビジョン」及び地域の実情に応じた5か年の施策の方向を提示する「地方版総合戦略」の策定に努めることとされました。
 五ヶ瀬町においても、長期的・継続的な人口減少に歯止めをかけ、将来に向けた計画的なまちづくりを展望するための方向性を示すため、五ヶ瀬町人口ビジョン(以下「人口ビジョン」という。)が2015年12月に策定されました。
 しかし、2月に公表された2015年国勢調査の速報値によると、人口ビジョンで想定していた人口より大幅に減少していることが明らかとなりました。2010年からの人口減少率は県内でワースト3位であり、看過できるものではないと考えます。
② 生活基盤のための九州中央自動車道建設計画
 九州中央自動車道は、熊本県熊本市の南に位置する嘉島町から宮崎県延岡市に至る延長約95kmの国土開発幹線自動車道であり、九州のほぼ中央で九州縦貫自動車道と東九州自動車道に直結し、これらと一体となって循環型の高速交通ネットワークを形成する。九州の中部・東部地域の発展に重要な役割を担うことはもとより、九州全体の産業、経済、文化の交流発展に資する路線です。嘉島JCT~矢部の整備により、熊本~延岡間の所要時間短縮に加え、沿線地域住民の生活圏の拡大や沿線地域間の交流・連携を支援し、沿線地域の産業、観光、防災、医療などの様々な用途でも同様に利用され、沿線地域間の日常的な交流の促進が期待されています。

(2) 研究の位置づけ
 この研究では、本町における人口の現状を分析するとともに、住民と九州中央自動車道建設に伴う人口に関する認識を共有しながら、今後めざすべき将来の方向と人口の将来展望を提示するとともに、人口減少に歯止めをかける積極戦略と、人口減少に対応したまちづくりを行う調整戦略のバランスを図りながら、今後の人口の変化が地域の将来に与える影響の分析・考察を行い、めざすべき将来の方向等を提示します。


2. 五ヶ瀬町の人口の現状分析

(1) 人口の動向分析
① 人口の推移
 ア 総人口推移
 本町は、1956(昭和31)年に町制施行しました。2010(平成22)年の国勢調査の人口は4,427人で、人口がピークであった1955(昭和30)年の9,598人より、5,171人減少しています。今後の推計値においても、全国的な人口減少の流れと同様に、本町の人口は、減少となることが予想されます。

資料:国勢調査

 イ 年齢3区分別人口の推移
 「年少人口」(0~14歳)、「生産年齢人口」(15~64歳)は、総人口の推移と比例するように減少傾向が続きます。
 「老年人口」(65歳以上)は、平均寿命が上昇したことなどから一貫して増加し続けていましたが、2010(平成22)年の国勢調査では初めての減少となり、前回調査から50人の減少になっています。
<年齢3区分別人口の推移>
資料:国勢調査
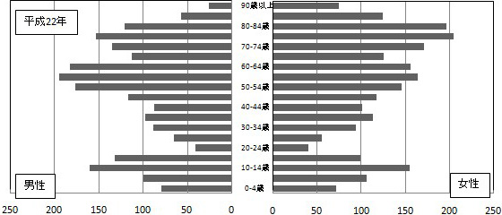
 ウ 人口ピラミッド
 1960(昭和35)年と2010(平成22)年の人口ピラミッドをみると、ピラミッドの形が三角形からつぼ型に変化しています。国の人口ピラミッドでは団塊ジュニアによる40歳前後にも大きな膨らみがみられますが、本町においてはそれがみられません。
 また、2010(平成22)年は20代の人口が極端に少なく、進学や就職で大部分が町外へ流出していると考えられます。今後、その世代が本町へ戻ってくる施策や魅力ある地域、子育て支援が必要であると考えられます。
<人口ピラミッド:1960(昭和35)年 総人口:9,321人>
<人口ピラミッド:2010(平成22)年 総人口:4,427人>
資料:国勢調査(1960(昭和35)年、2010(平成22)年)
② 自然動態および社会動態の推移
 ア 出生数と死亡数の推移
 本町の出生数は、1980(昭和55)年で90人を超えていましたが、徐々に減少し、ここ数年は20人台で推移しています。死亡数について、50人前後で推移してきましたが、近年は60人を超えており、総じて自然減の状況になっています。
<出生数と死亡数の推移>
資料:宮崎県推計人口調査
 イ 転入・転出数の推移
 本町の転入数は相対的に減少傾向にあります。1994(平成6)年から1996(平成8)年は転入者が転出者を上回っていますが、五ヶ瀬中等教育学校の開校によるものと予想されます。転出数も、同じく減少傾向にあり、近年は240人前後で推移しています。
<転入・転出数の推移>
資料:宮崎県推計人口調査
 ウ 合計特殊出生率の推移
 本町の合計特殊出生率は、2003(平成15)年~2007(平成19)年の期間に1.76まで低下しましたが、2008(平成20)年~2012(平成24)年の期間で上昇し、1.82となっています。国および宮崎県よりも上回って推移しています。
<合計特殊出生率の推移>
資料:人口動態保健所・市区町村別統計(人口動態統計特殊報告)
 エ 人口移動の状況(2005年から2010年にかけての5年間)
 人口移動の都道府県別の移動状況では、転出先は宮崎県内が472人と最も多くなっています。次いで、熊本県、福岡県と続いています。転入元においても宮崎県内が最も多くなっています。次いで、熊本県、福岡県と続いています。
 また、宮崎県内での移動状況は、転出・転入ともに宮崎市が最も多くなっています。

<都道府県別・移動状況(上位10位)>
(転出)単位:人 (転入)単位:人
都道府県名総 数男 性女 性
宮崎県472237235
熊本県1215269
福岡県391722
東京都2112
大分県2012
神奈川県11
大阪府
鹿児島県
愛知県
広島県
都道府県名総 数男 性女 性
宮崎県435224211
熊本県532231
福岡県241311
大阪府11
東京都10
愛知県
長崎県
大分県
京都府
鹿児島県
資料:国勢調査

<宮崎県内の転出入先地域と転出入者数>
※転出入者がどちらか30人以上のみ抽出
資料:国勢調査
 オ 昼夜間人口比較
 2010年の本町の常住人口(夜間人口)は従業地・通学地人口(昼間人口)を上回っています。昼夜間人口比率は91.6%となっており、宮崎県内26市町村のうち20番目と下位となっています。この数値は、町内に働く場所が少ないことが要因であると予想されます。

<昼間人口・夜間人口・昼夜間人口比較>

<昼間人口・夜間人口・昼夜間人口比率>
市町村名夜間人口昼間人口比 率順 位
西米良村1,2411,3281.070
木城町5,1775,4961.062
諸塚村1,8821,9521.037
都城市169,602175,3061.034
椎葉村3,0923,1541.020
宮崎市400,583406,6011.015
高千穂町13,72313,9191.014
延岡市131,182132,2701.008
小林市48,27048,0570.996
えびの市21,60621,4700.994 10
日南市57,68957,2970.993 11
日向市63,22362,6710.991 12
高鍋町21,73321,3380.982 13
美郷町6,2486,0870.974 14
日之影町4,4634,3310.970 15
川南町17,00916,4850.969 16
串間市20,45319,6470.961 17
西都市32,61431,2750.959 18
新富町18,09216,6670.921 19
五ヶ瀬町4,4274,0550.916 20
資料:国勢調査
③ 人口動向のまとめ
 国勢調査を始め、宮崎県推計人口調査、住民基本台帳等の各データにより人口・世帯数の現状分析を行いました。
 総人口について、昭和40年代の急速な人口減少は、平成に入り一時的に微減になったものの、近年、再び減少幅が大きくなっています。
 階層別データでは、増加を続けていた65歳以上人口が、2010年に減少に転じています。今後については、高齢化率は高い数値で推移していくものの、高齢者数は減少していくと予想されます。人口ピラミッドからは、20歳前後の人口が極端に少ないことが確認されました。進学や就職により大部分が町外へ流出していると予想され、若者が働くことのできる就業環境の整備が必要だと考えられます。
 自然増減では出生者数は減少傾向、死亡者数は増加傾向にあり、死亡者数が出生者数の3倍近い数字となっています。自然減を抑制するため、若者の就業環境整備と併せ、結婚、出産、子育て等の支援による出生数増加の対策が必要です。
 社会増減では、県内市町及び近隣県への転出者により減少となっています。転出先は県内では宮崎市、高千穂町、延岡市の順で転出者が多く、県外では、宮崎県を除くと熊本県、福岡県などが多くなっており、九州内の都市へ転出する傾向が強いと分析します。現在、九州中央道の整備が進められており、今後、転出先の上位にある熊本市や延岡市などが通勤圏となる可能性もあり、転出抑制に期待が寄せられます。
 合計特殊出生率は2003年~2007年の期間に減少しましたが、2008年~2012年の期間で上昇しました。2003年以前の出生率は2.10~2.48と高い数値で推移しており、出産や子育ての支援を充実させることで、出生率の回復は可能と思われます。
 昼夜間人口比較では、比率が91.6%と県内市町村でも下位となっており、他の市町村に比べ、昼間は町外で仕事に従事している人や学校に通学する人が多いことがわかりました。本町に働く場が少ないことが要因と思われます。

(2) 将来人口の推計
① 総人口の比較
 国立社会保障・人口問題研究所(社人研)と日本創成会議の推計に基づく主な内容は以下のとおりです。
 現在の減少傾向が続くとすると2040(平成52)年には社人研準拠推計では2,803人、創成会議準拠推計では2,453人で共に3,000人を割り込むという厳しい結果となっています。

社人研準拠推計日本創成会議準拠推計
概要 主に2005(平成17)年から2010(平成22)年の人口の動向を勘案し将来の人口を推計 社人研推計をベースに、移動に関して異なる仮定を設定
出生に関する仮定 原則として、2010(平成22)年の全国の子ども女性比(15~49歳女性人口に対する0~4歳人口の比)と各市町村の子ども女性比との比をとり、その比が2015(平成27)年以降2040(平成52)年まで一定として市町村ごとに仮定。 社人研と同様
死亡に関する仮定 原則として、55~59歳→60~64歳以下では、全国と都道府県の2005(平成17)年から2010(平成22)年の生存率から算出される生存率を都道府県内市町村に対して一律に適用。60~64歳→65~69歳以上では上述に加えて都道府県と市町村の2000(平成12)年→2005(平成17)年の生存率の比から算出される生存率を市町村別に適用。 社人研と同様
移動に関する仮定 原則として、2005(平成17)年~2010(平成22)年の国勢調査(実績)に基づいて算出された純移動率が、2015(平成27)~2020(平成32)年までに定率で0.5倍に縮小し、その後はその値を2035(平成47)~2040(平成52)まで一定と仮定。 全国の移動総数が社人研の2010(平成22)~2015(平成27)年の推計値から縮小せずに、2035(平成47)年~2040(平成52)年まで概ね同水準で推移すると仮定。

<総人口推計の比較>
資料:国立社会保障・人口問題研究所準拠推計、日本創成会議資料

(3) 人口の変化が地域の将来に与える影響
① 生活分野
 ア 人口が減少している地域においては、生活用品を取り扱う店舗等の撤退が予想され、自動車を運転できない高齢者など、食料品等の日常の買い物が困難な住民が増加することが見込まれます。
 イ 生活に密着した店舗の撤退が見込まれるような地域においては、日常生活に不可欠なバスなどの生活交通の維持・確保がより一層重要になりますが、沿線住民の減少に伴う旅客輸送需要が減少し、運賃の値上げや減便、最終的には廃線など、生活交通の利便性が損なわれることが懸念されます。
② 子育て分野
 ア 園児数の減少は、子育て関連施設の縮小や廃止につながることが予想されます。施設の縮小や廃止が進めば、遠方の施設を利用することになり、送迎に時間がかかるなどして就業に支障をきたすことなどが懸念されます。
 イ 児童・生徒数についても、減少すると推計されており、児童・生徒数の規模に応じた教育のあり方の検討が必要になってくると考えられます。
③ 医療・福祉分野
 ア 医療費については、高齢者数の減少とともに減少することが見込まれますが、1人当たりの医療費は上昇することが予想されます。また、医療保険料の総額及び1人当たりの医療保険料については、医療費と同様に推移するものと見込まれます。
 イ 各種相談件数の増加や困難ケースの増加に伴い、対応が長期化する傾向にあり、人口減少によりマンパワーの不足が生じることが予想されます。
④ 産業分野
 ア 就業者数については、2030年には生産年齢人口が、現在の6割近くまで減少すると推計されます。生産年齢の減少は、基幹産業の農林業をはじめ、町のあらゆる産業の衰退につながり、地域の活力の低下を招くことが考えられます。


3. 九州中央自動車道による人口推計

(1) 九州中央自動車道計画と進捗状況
 現在事業区間である嘉島JCT~矢部ICの内 上野ICまでが2018年度開通予定です。
 嘉島JCT~矢部ICまで開通すると下記表のとおり熊本市までの所要時間が大幅に削減され、熊本市が五ヶ瀬町の通勤圏内になります。


4. 人口の将来展望

(1) めざすべき将来の方向
 人口減少に対しては、国の長期ビジョンが示すように、出生率の向上により人口減少に歯止めをかけ、人口規模の安定と人口構造の若返りを図ることと、転出抑制と転入増加により、人口規模の確保を図ることが重要となっています。
 本町の人口現状を踏まえると、現在は、自然動態、社会動態ともに減少傾向を示しており、出生率の改善と転出の抑制、若い世代の転入を推進する必要があります。
 九州中央自動車道の開通により、この推進環境をよりプラスの方向に作用するよう本町がめざすべき方向性として、次の方向性を設定します。
<めざすべき方向性>
■定住促進と安定した雇用の創出
 高速道路開通に伴い、熊本市が通勤圏内となり五ヶ瀬町をベッドタウンとして定住促進に取り組むとともに、新たな取り組みへの積極的な挑戦により、雇用創出を図ります。
具体策
 ベッドタウン化へ向けた取り組み
  ・敷地造成による宅地の開発
  ・遊休農地等を宅地へ転換するための手続きの簡素化(●●特区)
  ・空き家バンク制度の積極的な活用
  ・町産材を利用しての新築、増築するものに対する補助制度の拡充
 五ヶ瀬町の豊富な水資源を活かした飲料メーカーの誘致
  ・企業誘致に伴う税制優遇の緩和拡充
■子どもを産み育てやすい環境づくり
 子どもを産み育てやすい環境づくりのため、福祉課、子育て支援センター、保育所などが一体となった、切れ目のない子育て支援を行います。
具体策
  ・現在制度化されている支援制度の拡充(出産祝金の拡充等)
  ・給食費無料化など子育て世代へ負担のかからない制度の実施
  ・放課後こども教室などの時間延長による仕事のしやすい環境づくり

(2) 人口の将来展望
 今後の五ヶ瀬町が維持していくべき将来人口を先述した「めざすべき将来の方向」に基づき、0歳から9歳まで、25歳から34歳までの世代をそれぞれ5年間で30人転入させるよう設定しました。
 なお、2015年の数値は国勢調査の速報値を使用しています。
<総人口の将来推計>